2016-2022 All Rights Reserved.平安財經網.復制必究 聯系QQ 備案號:
本站除標明“本站原創”外所有信息均轉載自互聯網 版權歸原作者所有。
郵箱:toplearningteam#gmail.com (請將#換成@)
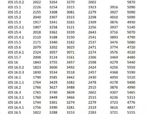
5月21日,蘋果在本周五正式推送了IOS16.5的系統更新,這次更新中為iPhone手機用戶提供了三處功能的修復,并且修補了39個安全漏洞問題,此次更新后,有手機用戶表示自己更新之后的手機電池電量消耗更快了,根據外國博主的測試數據顯示,相較于先前的系統版本,只有兩款手機機型的續航時間沒有收到負面影響,分別是iPhone8和iPhone 13,其余的手機機型續航都出現了小幅度的下降現象。

升級系統之后,IPhone 13呈現電池續航提升的趨勢,相比于先前版本提升了約32分鐘的續航程度,IPhone8則提升了七分鐘的續航,至于iPhone 11則在升級此次最新系統后,續航時間減少了約12分鐘左右,除了更新系統后,手機電池續航呈現下降趨勢之外,此次IOS16.5系統還爆出多個bug問題。

根據首批安裝最新更新的用戶所述,更新完系統之后遇到了bug,Lightning轉USB 3相機轉換器無法正常運行工作,據了解,這款配件在官網的售價達到了320元,配件的功能是可以將閃電接口拓展為USB 3.0 type a接口,可以方便用戶去傳輸照片視頻,同時還能夠給手機設備充電,但是在更新此次最新系統后,這款配件連接后無法使用。

從整體來看,蘋果此次更新的IOS16.5系統有著明顯的bug,造成多數型號設備續航下降,如今IOS16.6的系統版本只推出第一個測試版,想要正式發布還需要等待一段時間,現階段IOS16.5的系統bug比較多,獲取蘋果公司會在接下來推出修復版解決這些問題,除此之外,有網友爆料稱,蘋果公司在最近的一周內加強了IOS16.6的內部測試力度,并修復了很多此前版本的bug,或許16.6系統的正式版發布后,能稱為眾多機型的養老版本。
2016-2022 All Rights Reserved.平安財經網.復制必究 聯系QQ 備案號:
本站除標明“本站原創”外所有信息均轉載自互聯網 版權歸原作者所有。
郵箱:toplearningteam#gmail.com (請將#換成@)