2016-2022 All Rights Reserved.平安財經網.復制必究 聯系QQ 備案號:
本站除標明“本站原創”外所有信息均轉載自互聯網 版權歸原作者所有。
近日有一位清華學生發現了2022年諾貝爾物理學獎科學背景報告當中的一處筆誤,指出之后收到了來自瑞典的感謝信,此前三位科學家在量子力學領域的研究成果讓他們獲得了當年的諾貝爾物理學獎,這一成果引起了學界眾多大牛的關注,然而讓人沒想到的是關于本次獲獎,還有一些錯誤存在其中。

發現錯誤實屬偶然
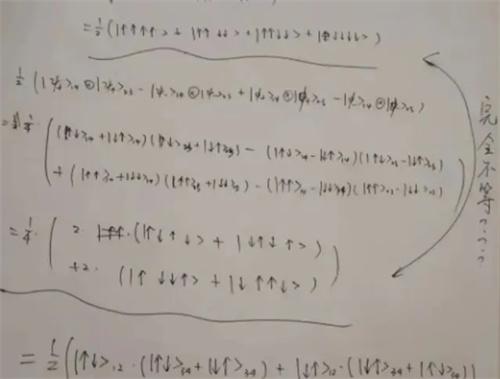
清華大學物理系一位大二學生在學習2022年諾貝爾物理學獎研究成果時,發現推導公式當中有一個明顯的筆誤錯誤,正確的公式結果應該是右項的數字全都是正號,在這里卻出現了2正2負的結果,很有可能是出現了筆誤,面對“諾貝爾物理學獎”的頭銜,這名學生并沒有因為是權威就不敢提出質疑,而是再三檢查之后把自己的發現和老師王向斌說明,兩人的探討一直持續到凌晨,最終確定了報告當中確實存在筆誤。


科學面前人人平等
兩人確保自己的發現沒有錯誤之后,隨即向瑞典皇家科學院提出了反饋,對方接到這項反饋結果之后進行了更正,還對報告版本進行了修改,之后向發現這個問題的人發出了感謝信,這名學生表示,收到感謝信的自己感到萬分榮幸,是清華平臺給了自己的發現這個錯誤的機會,本次發現也更加確立了自己今后研究科學的信心,王向斌則表示,學生身上的這種敢于探索、敢于質疑的精神是極為寶貴的,也是學生在鉆研科學領域重要的品質,即使是權威推導出的結論,也并非不可能出現錯誤,在科學面前人人平等,任何人都有權檢驗真理的正確性,這也正是科學研究的魅力所在。
2016-2022 All Rights Reserved.平安財經網.復制必究 聯系QQ 備案號:
本站除標明“本站原創”外所有信息均轉載自互聯網 版權歸原作者所有。